Nový územný koncept
V programovom období 2021-2027 existuje už len jeden operačný program – Program Slovensko s jedným riadiacim orgánom, ktorým je Ministerstvo investícií, regionálneho rozvoja a informatizácie Slovenskej republiky. Implementácia Programu Slovensko v regiónoch bude fungovať prostredníctvom 8 integrovaných územných stratégii (podľa existujúcich krajov), a tiež 17 stratégií území udržateľného mestského rozvoja.
Hlavnou črtou nového konceptu je odklon od dopytového systému. Hlavným mechanizmom implementácie IÚS sú integrované územné investície (ďalej IÚI). Jedná sa o súbor projektov, ktoré sú realizované naprieč politickými cieľmi Programu Slovensko a okrem Programu zahŕňajú aj financovanie z iných zdrojov (ako napr. Plán obnovy a odolnosti, Programy cezhraničnej spolupráce, atď. alebo aj štátny rozpočet či vlastné zdroje). IÚI umožňujú lepšie reagovať na potreby a priority toho-ktorého územia a vďaka vhodnej integrácii rôznorodých aktivít je ich dopad na dané územie významnejší a komplexnejší, než by to bolo v prípade realizácie samostatných, navzájom nesúvisiacich projektov.
Integrovaná územná stratégia
Integrovaná územná stratégia Bratislavského kraja na roky 2021-2027 predstavuje kľúčový nástroj pre realizáciu vybraných opatrení a aktivít PHRSR s využitím externých finančných zdrojov, pričom jej cieľom je zabezpečiť integrovaný územný rozvoj celého kraja. Na rozdiel od PHRSR BSK, ktoré schvaľuje zastupiteľstvo BSK, IÚS BSK schvaľuje Rada partnerstva. Stratégia bola schválená na zasadnutí Rady partnerstva 15. decembra 2022.
Integrovaná územná stratégia_Analyticko-strategicka_cast_FINAL
Integrovaná územná stratégia_Metodicka_cast_FINAL
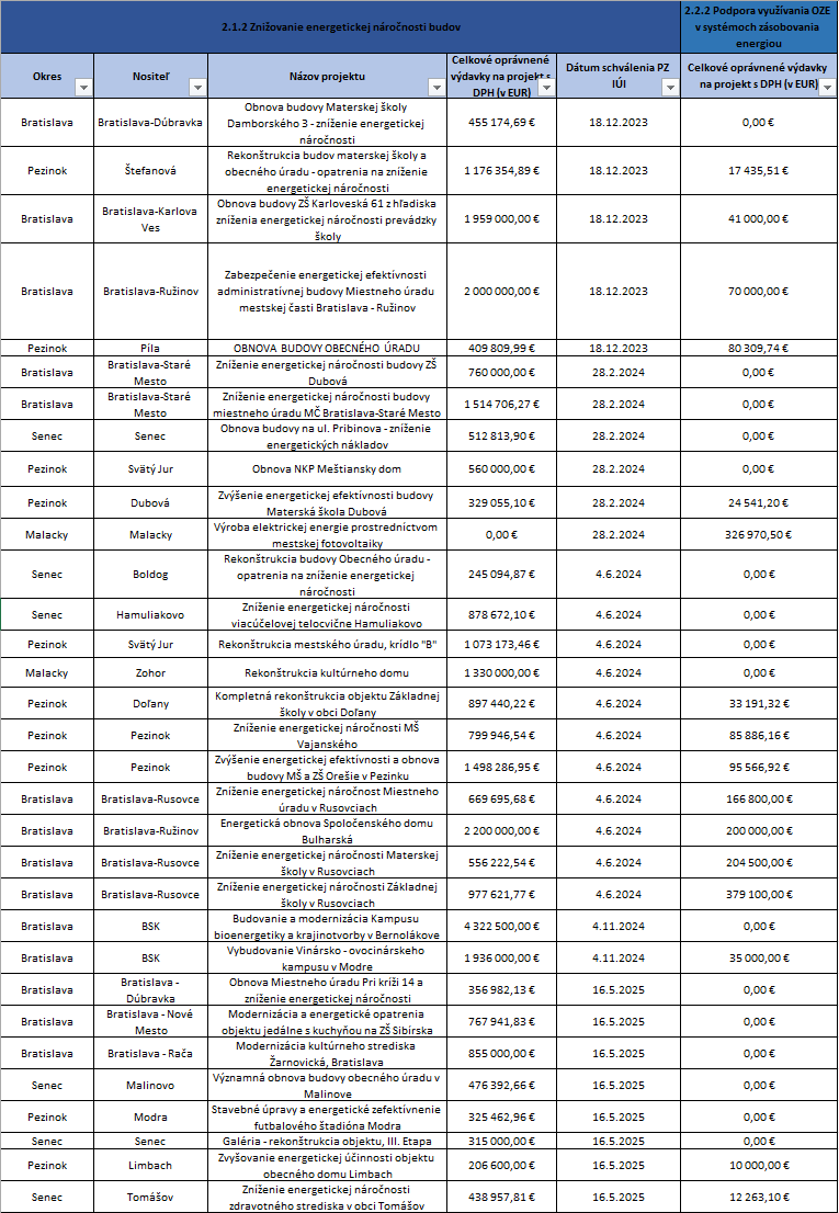
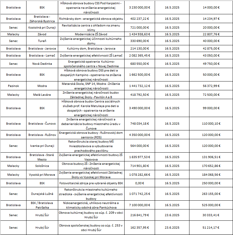
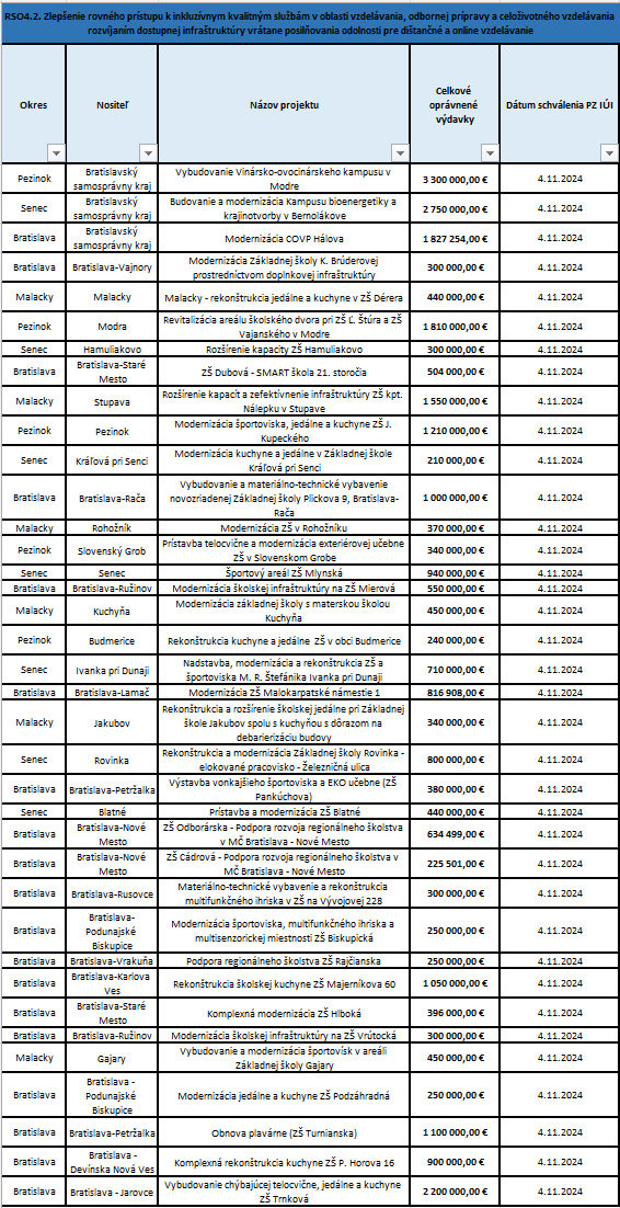
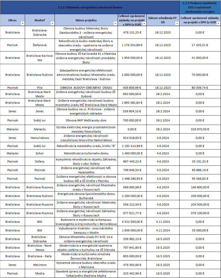
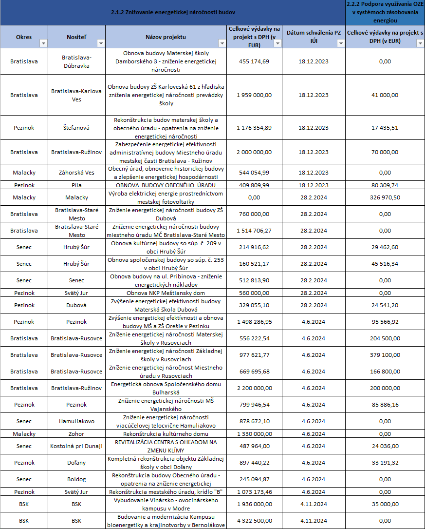
Projektový zásobník IÚS BSK
Projektový zásobník IÚS BSK, tzv. „long list“, predstavuje zásobník projektových zámerov vo vyššom štádiu prípravy, ktoré sú zároveň vhodné svojím obsahovým zameraním, resp. zameraním vybraných aktivít pre financovanie z opatrení, realizovaných prostredníctvom mechanizmu IÚI. Zásobník zároveň poskytuje predstavu o dopyte územia po jednotlivých opatreniach a tiež finančnej náročnosti pripravovaných projektov. Cieľom je mať k dispozícii priebežne aktualizovaný dokument, z ktorého môže Rada partnerstva následne vyberať konkrétne projektové zámery pre schválenie vo forme integrovaných územných investícií.



















